科研动态
科研动态 | 上海交大澳门十大信誉好的网站孙占奎团队在Green Chemistry上发表“Wittig/氢烷基化”串联反应成果
供稿:孙占奎课题组     发布时间:2021-02-10

近日,绿色化学领域的国际知名期刊Green Chemistry在线发表了澳门十大信誉好的网站孙占奎团队题为“Visible-light induced metal-free cascade Wittig/hydroalkylation reactions”的最新研究成果。

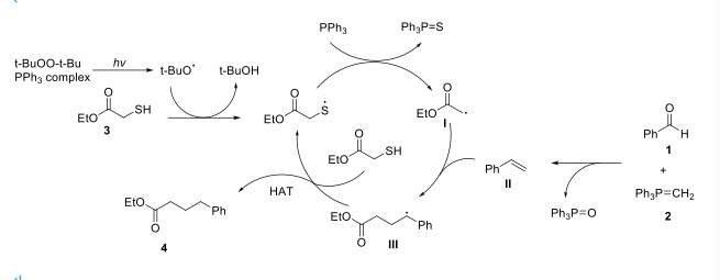
串联反应可以通过一步操作实现多个碳碳键的构建,是一种绿色、高效且经济的方法。自由基型的串联反应的设计和实现一直是非常有趣但非常具有挑战性的工作。孙占奎课题组设计并实现了一种可见光诱导的自由基型“Wittig/氢烷基化串联反应策略。该成果基于课题组以前的工作(Green Chem., 2020, 22,669)。在可见光诱导下,α-巯基取代的羰基硫醇通过脱硫过程形成烷基自由基(I),之后加成到Wittig反应原位生成的烯烃()上,从而得到延长碳链的自由基中间体(III),之后经过氢原子转移反应得到产物(4)。该方法具有不含金属、条件温和、底物适用范围广、官能团耐受性好等特点。作者进一步把该方法应用于活性天然产物的合成上,作者以醛(51)为原料,通过此串联反应与氢化两个步骤,以34%的总收率得到了天然产物indolizidine 209D

澳门十大信誉好的网站博士生苗盼楠为该论文的第一作者,孙占奎研究员为论文通讯作者,李瑞宁助理研究员与林宪峰助理研究员为该论文共同作者。该研究工作得到了澳门十大信誉好的网站及国家相关人才计划的支持。

该论文的网址为:https://pubs.rsc.org/en/content/articlelanding/2021/GC/D1GC00091H#!divAbstract

网站声明|友情链接|联系我们|返回旧版

地址:上海市东川路800号 邮编:200240
© 2020 澳门十大信誉好的网站|官网首页